Предмет: Математика,
автор: zhemli
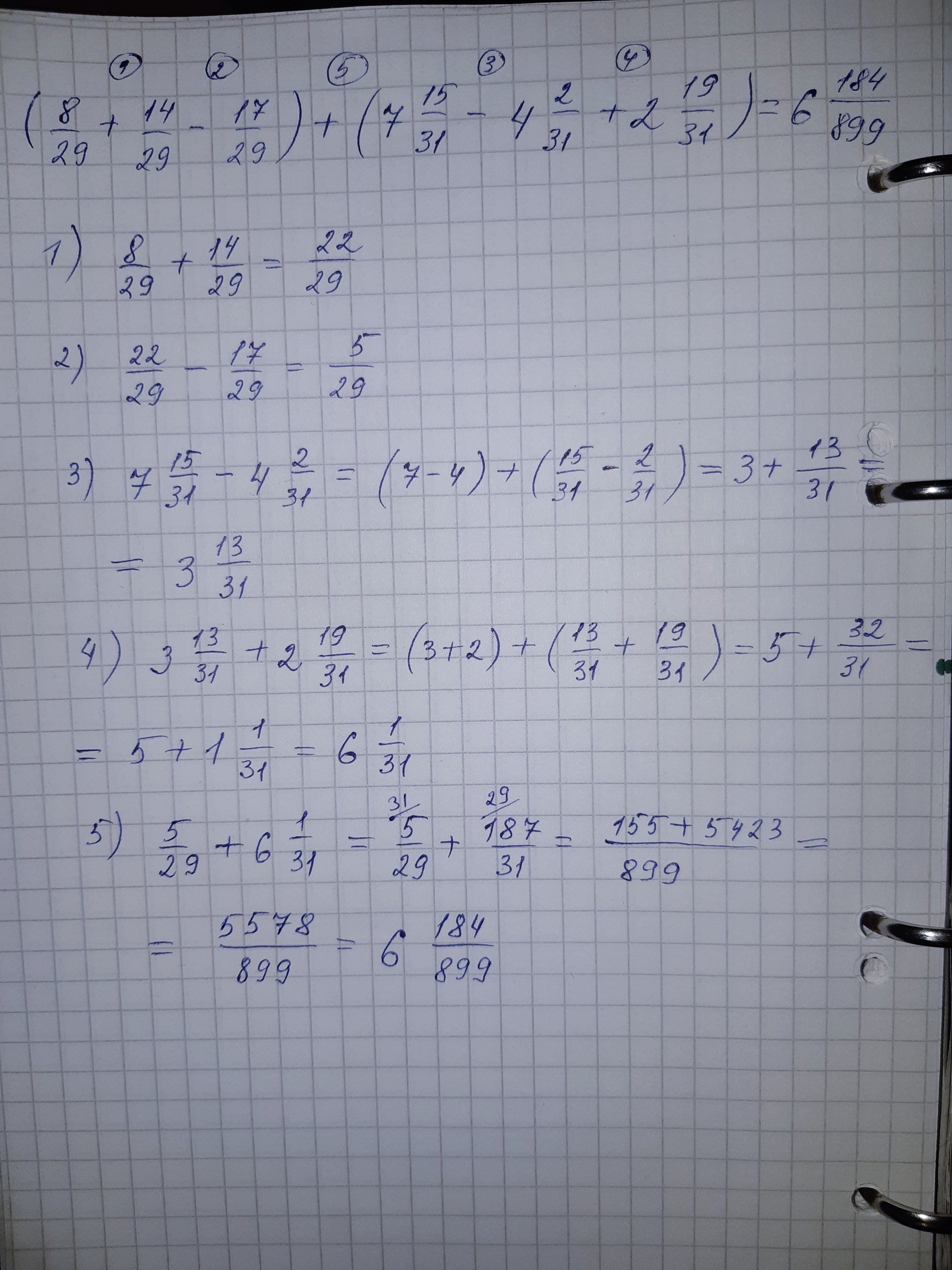
Решите пример прошу.
Приложения:
Ответы
Автор ответа:
1
__________________________________
Приложения:
zhemli:
Вы лучший спасибо
Похожие вопросы
Предмет: Українська література,
автор: zorapolina67
Предмет: Математика,
автор: vikagolianchyk
Предмет: География,
автор: marianakulyk08
Предмет: Литература,
автор: Dominikk9
Предмет: Математика,
автор: elinakarimova2