Предмет: Математика,
автор: mc0mrade
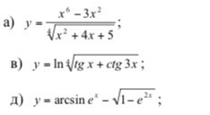
Найти производные dy/dx функции под буквой "д"
Приложения:
Ответы
Автор ответа:
1
Ответ:
Пошаговое объяснение:
Приложения:
mc0mrade:
Как я понимаю,во втором дробном выражении в числителе и знаменателе сокращаются "2"?(Почерк немного торопливый)
да сокращаются , за почерк sorry...
Похожие вопросы
Предмет: Математика,
автор: vladimirovnan905
Предмет: Химия,
автор: wertys89
Предмет: Математика,
автор: katedubrova2000
Предмет: География,
автор: трунь1
Предмет: Математика,
автор: Аноним