Предмет: Алгебра,
автор: yana0722
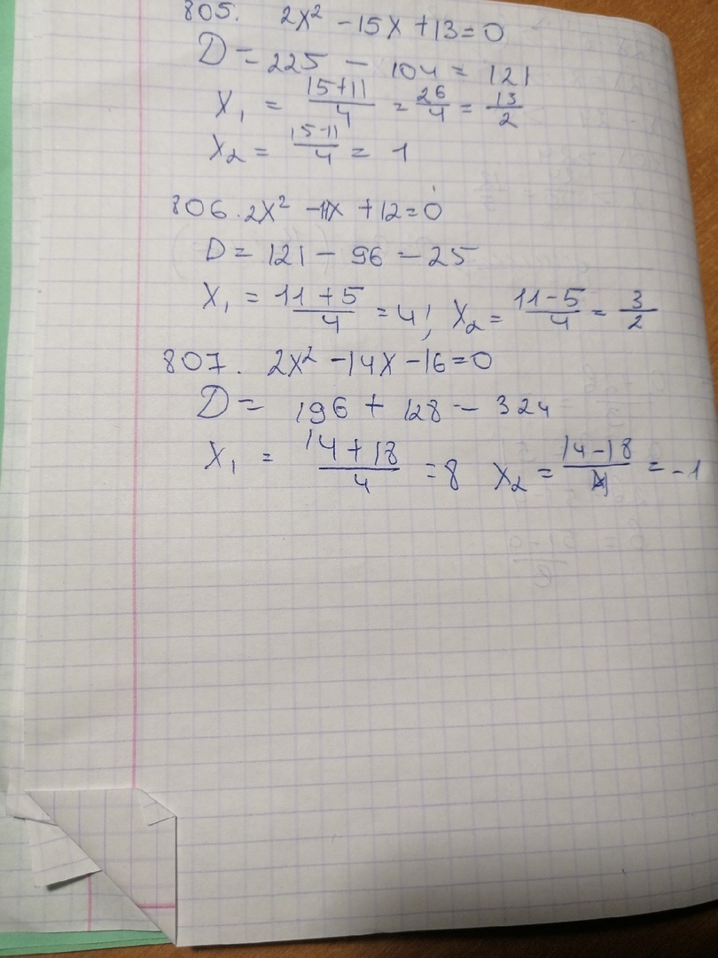
Помогите, решить квадратные уравнения!
Приложения:
Ответы
Автор ответа:
1
//////////////////////////////////////////
Приложения:
Похожие вопросы
Предмет: Математика,
автор: parpulovarumana
Предмет: Математика,
автор: silchuksasha15
Предмет: Геометрия,
автор: y7jt7
Предмет: Физика,
автор: olrgparshakov
Предмет: Геометрия,
автор: никитаscorpion