Предмет: Химия,
автор: Shaxriyor1608
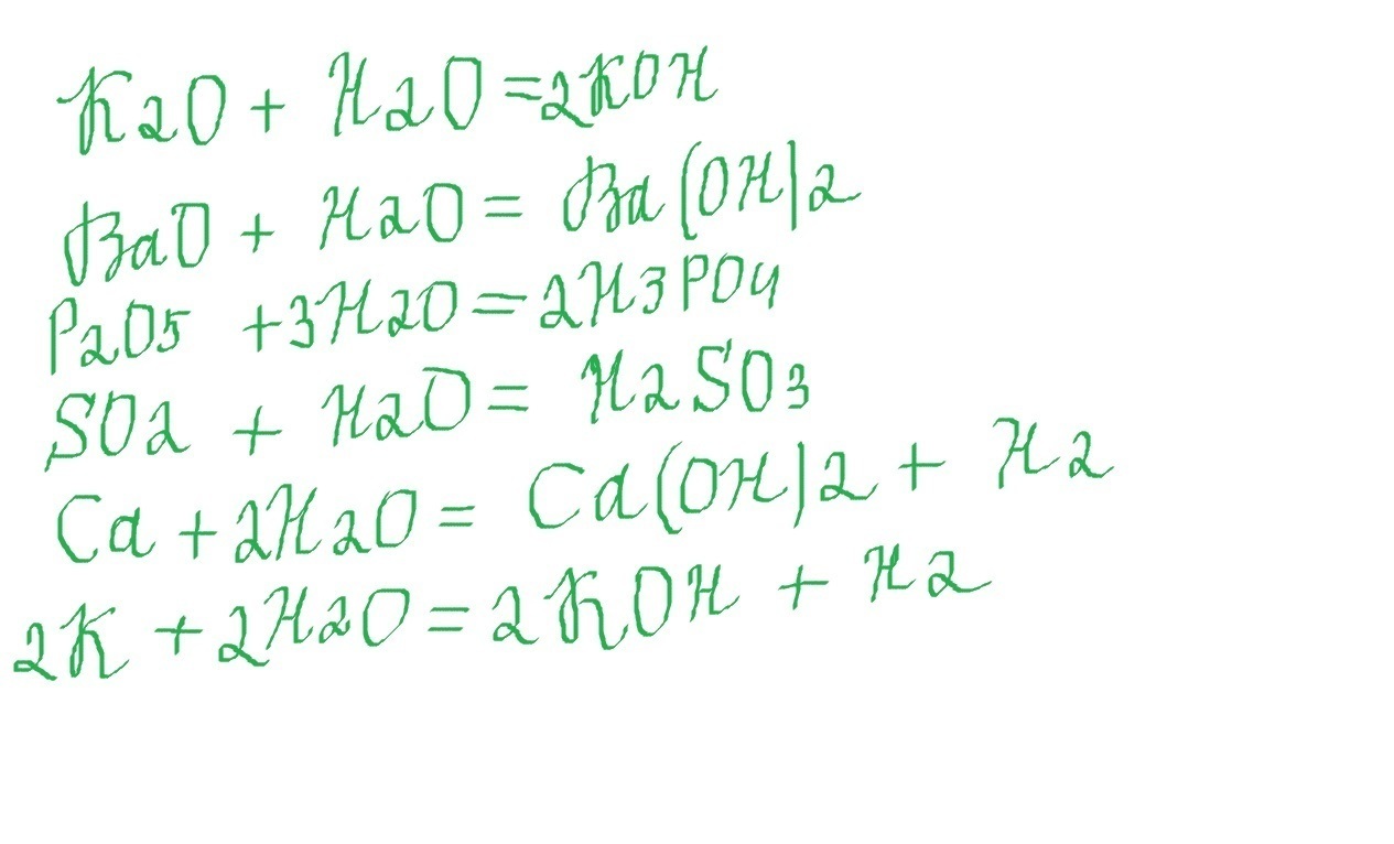
Напишите уравнения реакций взаимодействия с водой следующих веществ
K2O, BaO, P2O5, SO2, Ca, K
Ответы
Автор ответа:
8
Уравнения всех шести реакций
Приложения:
Shaxriyor1608:
Спасибо большое
Похожие вопросы
Предмет: Русский язык,
автор: lemonchek8979
Предмет: Математика,
автор: azizmirsaidov8716
Предмет: Физика,
автор: gogolnikolaj41
Предмет: Математика,
автор: вблвлвбыбцбцд