Предмет: Математика,
автор: itzmespooky
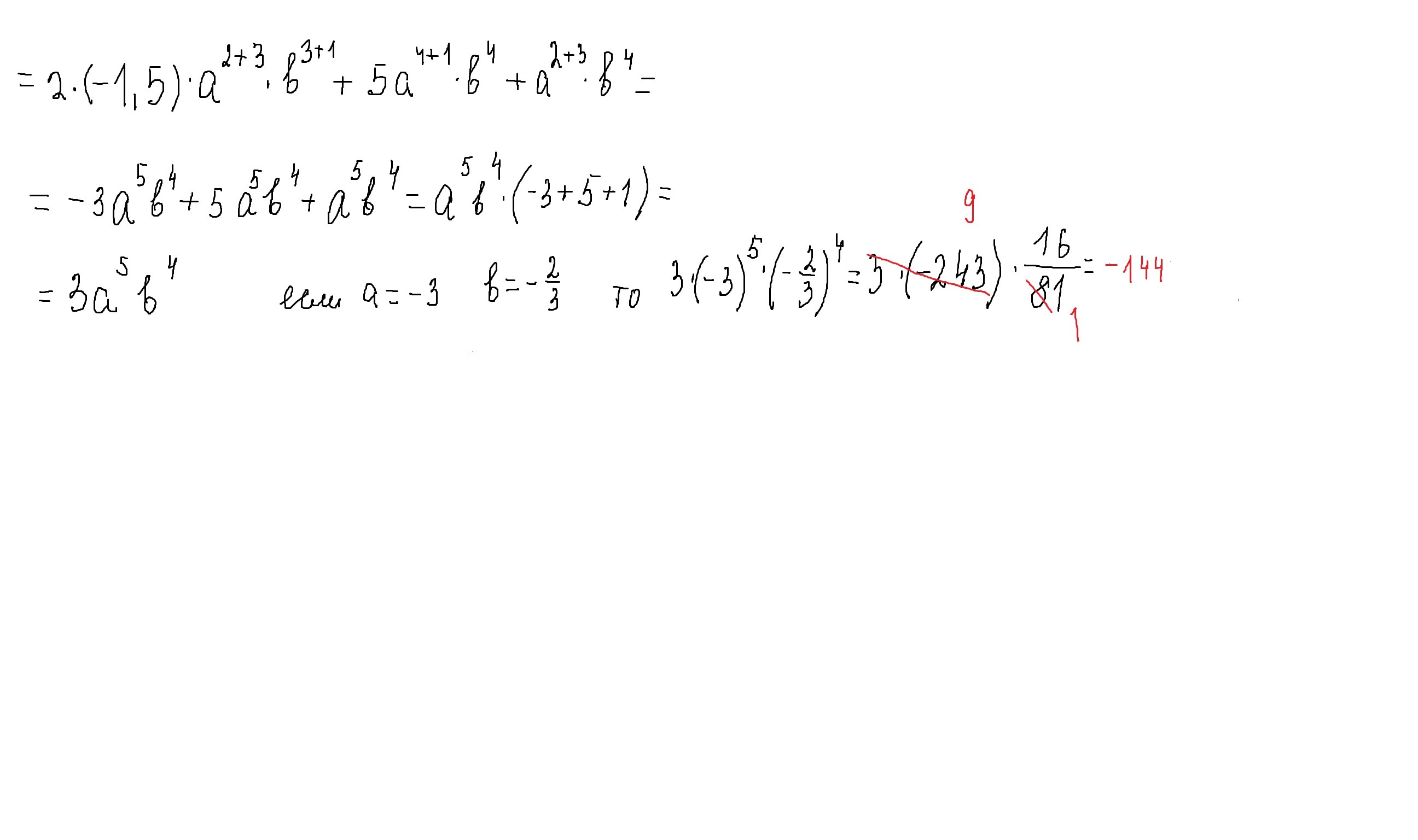
найдите значение выражения
Приложения:
Ответы
Автор ответа:
0
Ответ:
Пошаговое объяснение:
Приложения:
Автор ответа:
0
Ответ:
смотри решение внизу
Приложения:
Похожие вопросы
Предмет: Русский язык,
автор: Di2022
Предмет: Английский язык,
автор: murccikrut
Предмет: Математика,
автор: nat14917674
Предмет: Математика,
автор: Настяfloris
Предмет: Литература,
автор: кицяя