Предмет: Математика,
автор: semenkos733
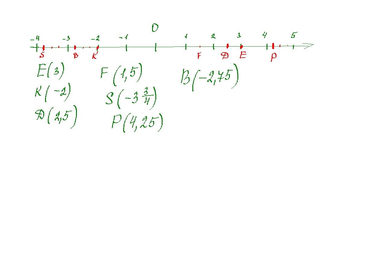
Начертите координатную прямую, приняв за единичный отрезок длину Четырёх клеток тетради. Отметьте на этой прямой точки E(3);K(-2);D(2,5);F(1,5);S(-3 целых 3 четвёртых);P(4,25);B(-2,75). отдаю все свои баллы
Ответы
Автор ответа:
26
Ответ:
Пошаговое объяснение:
Приложения:
semenkos733:
спасибо тебе огромное желаю тебе удачи
cgfcb,j
спасибо и тебе тоже
Похожие вопросы
Предмет: Математика,
автор: lilyzavadska209
Предмет: Геометрия,
автор: mrgemes466
Предмет: Химия,
автор: sofiazeruha96
Предмет: Алгебра,
автор: лоо15пол
Предмет: Математика,
автор: ловопи