Предмет: Алгебра,
автор: sladdapvp
Решите!! Дам 500 баллов.
Приложения:
Ответы
Автор ответа:
0
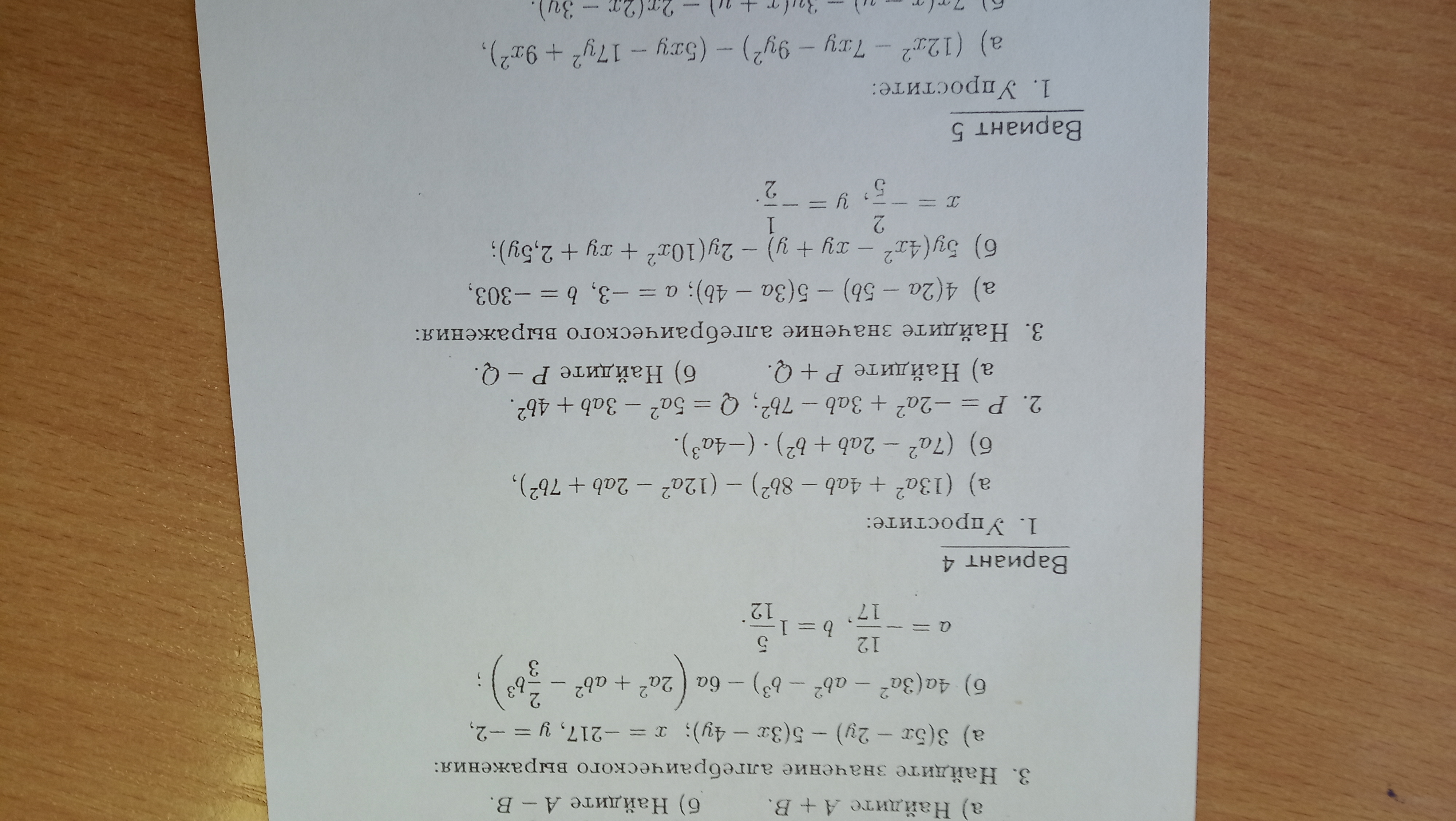
решение на фото..................
Приложения:
bazuka73:
в 1 задании под а)-8b^2 - 7b^2=-15b^2; во втором задании P-Q: -7b^2-4b^2=-11b^2. в 3 задании под а)-7а=-7*(-3)=21
Автор ответа:
0
достачно просто всё,раскрывать скобки,главное в знаках не запутаться)
Приложения:
3 задание под б)ошиблась немного,ответ после упрощения -7х^2y,после подстановки значений х и y ответ 0,7
Похожие вопросы
Предмет: Математика,
автор: Black5796
Предмет: Математика,
автор: sapron869
Предмет: Математика,
автор: Temmie4799
Предмет: Алгебра,
автор: Аноним
Предмет: Литература,
автор: Zaty