Предмет: Математика,
автор: Rainbow05
Вычислите:
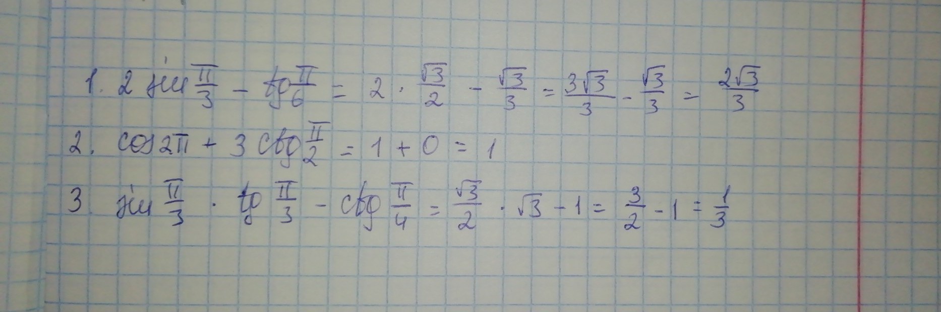
1. 2sin π/3 - tg π/6
2. cos2 π + 3ctg π/2
3. sin π/3 tg π/3 - ctg π/4
Ответы
Автор ответа:
6
.....................................
Приложения:
Похожие вопросы
Предмет: Математика,
автор: polinaKazanova7909
Предмет: Қазақ тiлi,
автор: katyashulepova607
Предмет: Химия,
автор: girod8873
Предмет: Математика,
автор: мартя9896754321