Предмет: Алгебра,
автор: qwer820440z
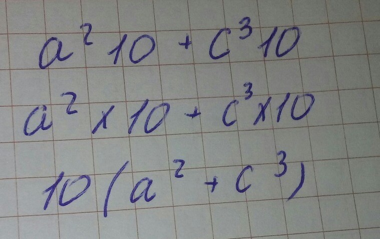
значення виразу А²10+С³10
Ответы
Автор ответа:
0
така відповідь тобі підійде
Приложения:
Похожие вопросы
Предмет: Литература,
автор: AWEN2
Предмет: Окружающий мир,
автор: sadovaalina078
Предмет: Физика,
автор: Аноним
Предмет: История,
автор: perschinanton
Предмет: Математика,
автор: sam12voin