Предмет: Математика,
автор: chmobolotnoe
помогите решить
Ответы
Автор ответа:
2
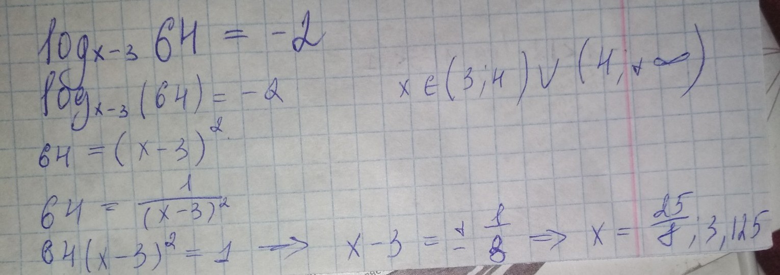
Ответ 3.125.
Решение в приложении)
Решение в приложении)
Приложения:
Похожие вопросы
Предмет: Математика,
автор: dadiesip
Предмет: Алгебра,
автор: sumsung260j010320
Предмет: Алгебра,
автор: masha567fart
Предмет: История,
автор: влада20063
Предмет: Литература,
автор: dashenka121314