Предмет: Алгебра,
автор: Аноним
ПОМОГИТЕ ПРОШУ УМОЛЯЮ !!!!!!!!!!!!!
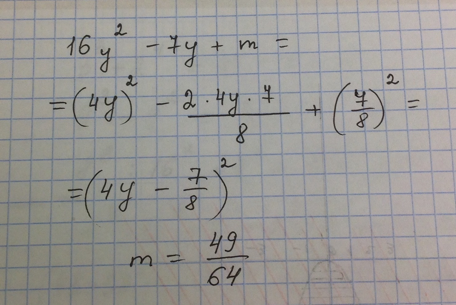
Заміни m одночленном так, щоб вийшов квадрат двочлена
16y²−7y+m
Ответы
Автор ответа:
1
Ответ на фото////////////////
Приложения:
Похожие вопросы
Предмет: Геометрия,
автор: mrgiddix16
Предмет: История,
автор: gushenya02
Предмет: Русский язык,
автор: Bonzhur228
Предмет: Химия,
автор: jiliutre