Предмет: Алгебра,
автор: esmajabogatyreva
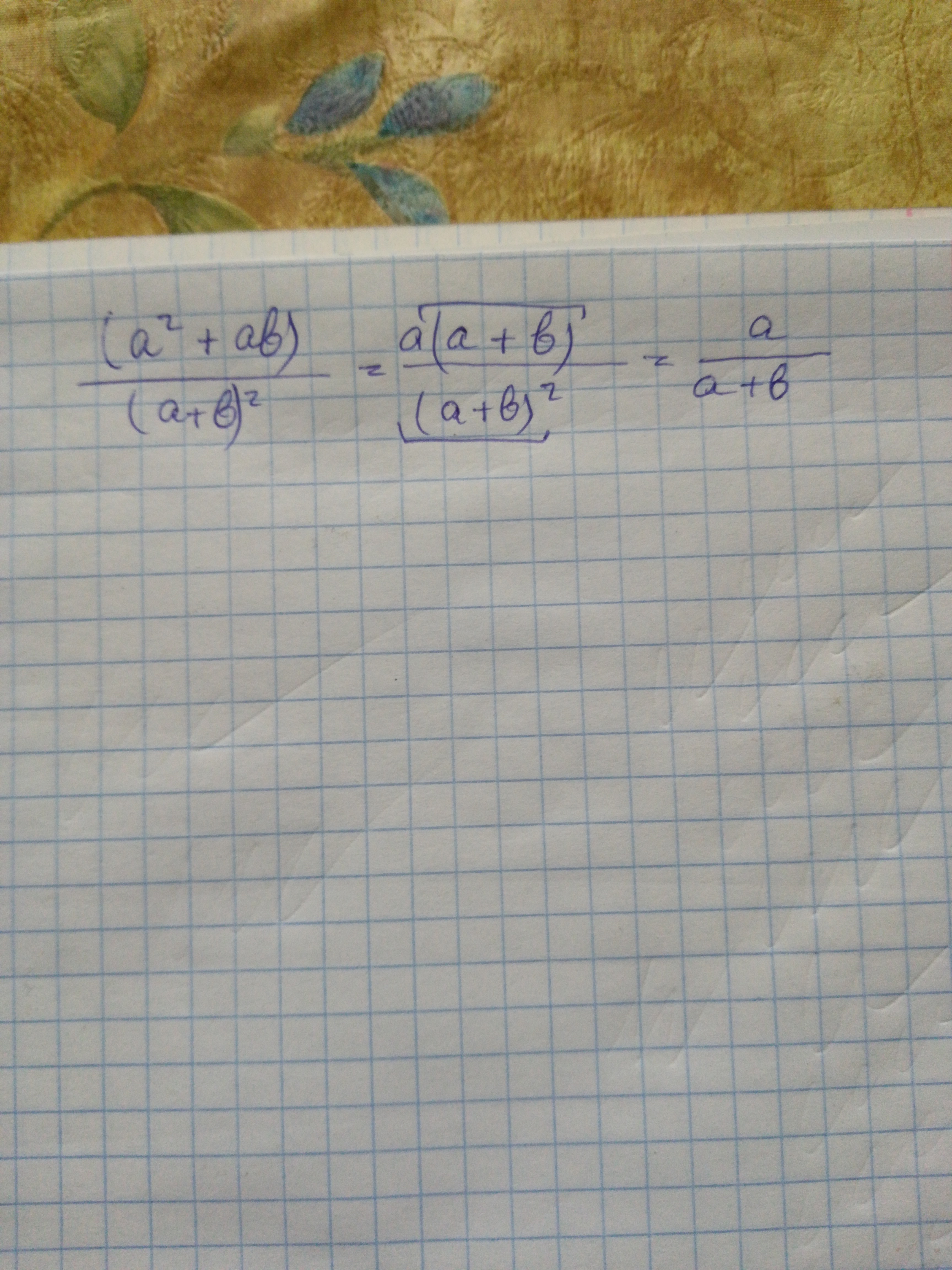
сократит дробь:(а(вторая степень)+ав) /(а+в) (вторая степень)
Ответы
Автор ответа:
1
а^2 + ab/a + b= a(a+b)/a + b= a (т.к. скобку в числителе сокращаем со знаменателем)
Автор ответа:
0
В числителе мы вынесли за скобки общий множитель, а потом сократили выражения в скобках.
Приложения:
Похожие вопросы
Предмет: Литература,
автор: Аноним
Предмет: Алгебра,
автор: schutovalesh
Предмет: Русский язык,
автор: Аноним
Предмет: Математика,
автор: vika0026
Предмет: Математика,
автор: Аноним