Предмет: Алгебра,
автор: stalyn2018
Помогите срочно,98 баллов.Нужно решение номера 323!
Приложения:
marinasmirina828:
кто автор учебника и какой класс?
Ответы
Автор ответа:
1
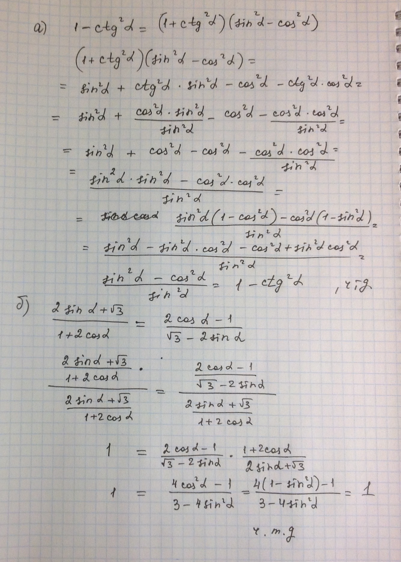
Ответ на фото////////////////
Приложения:
спасибо !
Похожие вопросы
Предмет: Физика,
автор: xuxugxigxguxigxgxi
Предмет: Химия,
автор: anna7336
Предмет: Математика,
автор: Vasilisaantipova37
Предмет: Математика,
автор: Jolte
Предмет: Математика,
автор: хъюстон12