Предмет: Математика,
автор: rene24
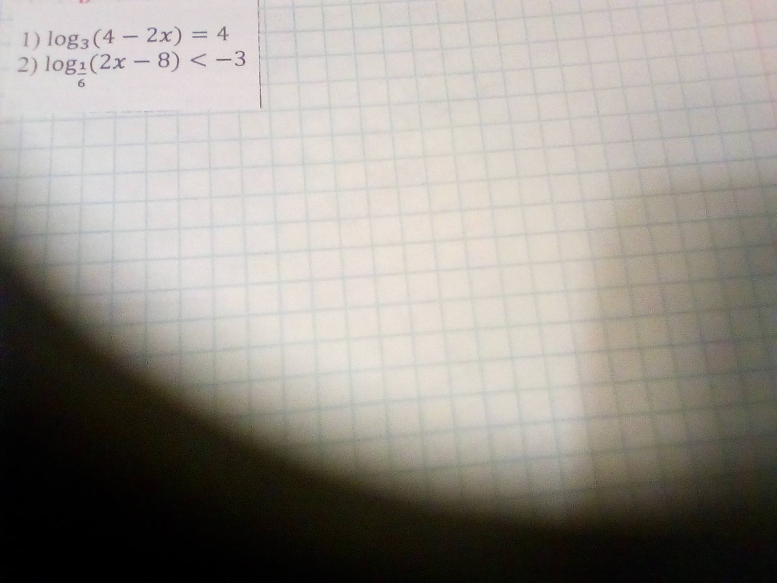
Помогите, пожалуйста, решить. Срочно нужно !!
Приложения:
Ответы
Автор ответа:
1
Ответ:
Пошаговое объяснение:
Приложения:
Похожие вопросы
Предмет: Английский язык,
автор: nika926349
Предмет: Информатика,
автор: elviravolynina1984
Предмет: Музыка,
автор: Rnm583
Предмет: Математика,
автор: vadik225
Предмет: Математика,
автор: lesssy21