Предмет: Алгебра,
автор: hadfteg
РЕШИТЕ ПОЖАЛУЙСТА
СРОЧНО
Приложения:
Ответы
Автор ответа:
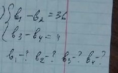
1
B1=40
B2=4
B3=6
B1=2
Ответы могут изменяться в соответствии условия задачи
B2=4
B3=6
B1=2
Ответы могут изменяться в соответствии условия задачи
Похожие вопросы
Предмет: История,
автор: shahnozibragimova878
Предмет: Математика,
автор: tigric06
Предмет: Английский язык,
автор: smotrichenko201545
Предмет: Математика,
автор: ANNI11111
Предмет: Математика,
автор: VeronikaOscar