Предмет: Математика,
автор: Thecityzen
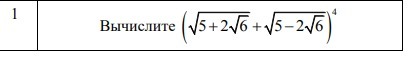
Помогите пожалуйста !!!!!
Приложения:
Ответы
Автор ответа:
1
Ответ:
Пошаговое объяснение:
Приложения:
Похожие вопросы
Предмет: Математика,
автор: pasagerlejn
Предмет: Немецкий язык,
автор: natalaparfenuk
Предмет: Алгебра,
автор: duysonkulovaayana
Предмет: География,
автор: bondarroman
Предмет: Биология,
автор: Mironova151