Предмет: Алгебра,
автор: Ksenuya2005
помогите кто может, прошу,срочно надо
Приложения:
Ответы
Автор ответа:
1
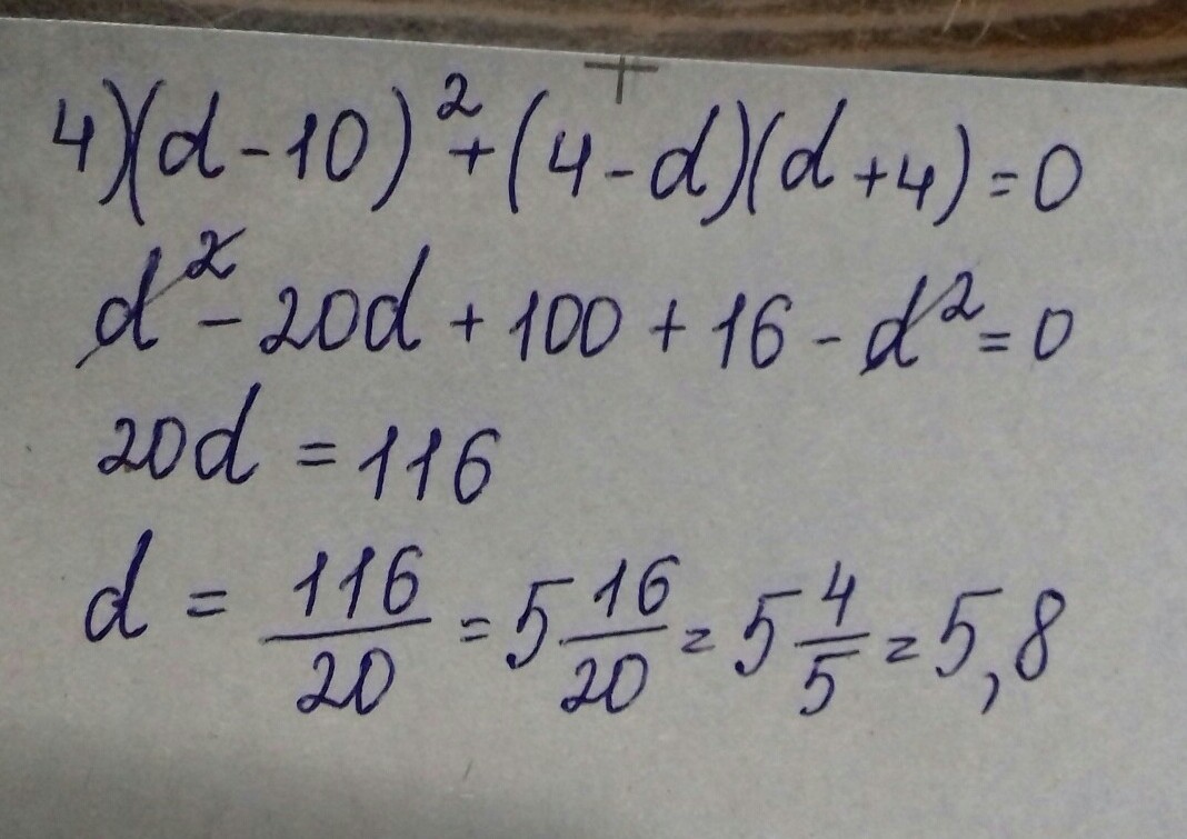
Решение смотри на фото
Приложения:
Ksenuya2005:
спасибо большое
Пожалуйста
почерк капец красивый
Спасибо
Похожие вопросы
Предмет: Русский язык,
автор: makashev9895
Предмет: Математика,
автор: Ayazhan8668
Предмет: Обществознание,
автор: mehannik7722
Предмет: Химия,
автор: yulyavinogrado1
Предмет: Математика,
автор: alex170109