Предмет: Математика, автор: iMichael

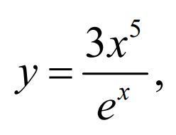
Найти производную первого порядка данной функции

Приложения:

Ответы

Автор ответа: IrkaShevko
0

Ответ:


Пошаговое объяснение:

y'=\dfrac{(3x^5)'e^x-3x^5(e^x)'}{(e^x)^2} =\dfrac{15x^4e^x-3x^5e^x}{e^{2x}}= \dfrac{e^x(15x^4-3x^5)}{e^{2x}}=\dfrac{15x^4-3x^5}{e^x}

Похожие вопросы
Предмет: Алгебра, автор: ProsroNastya