Предмет: Математика,
автор: olesya1866
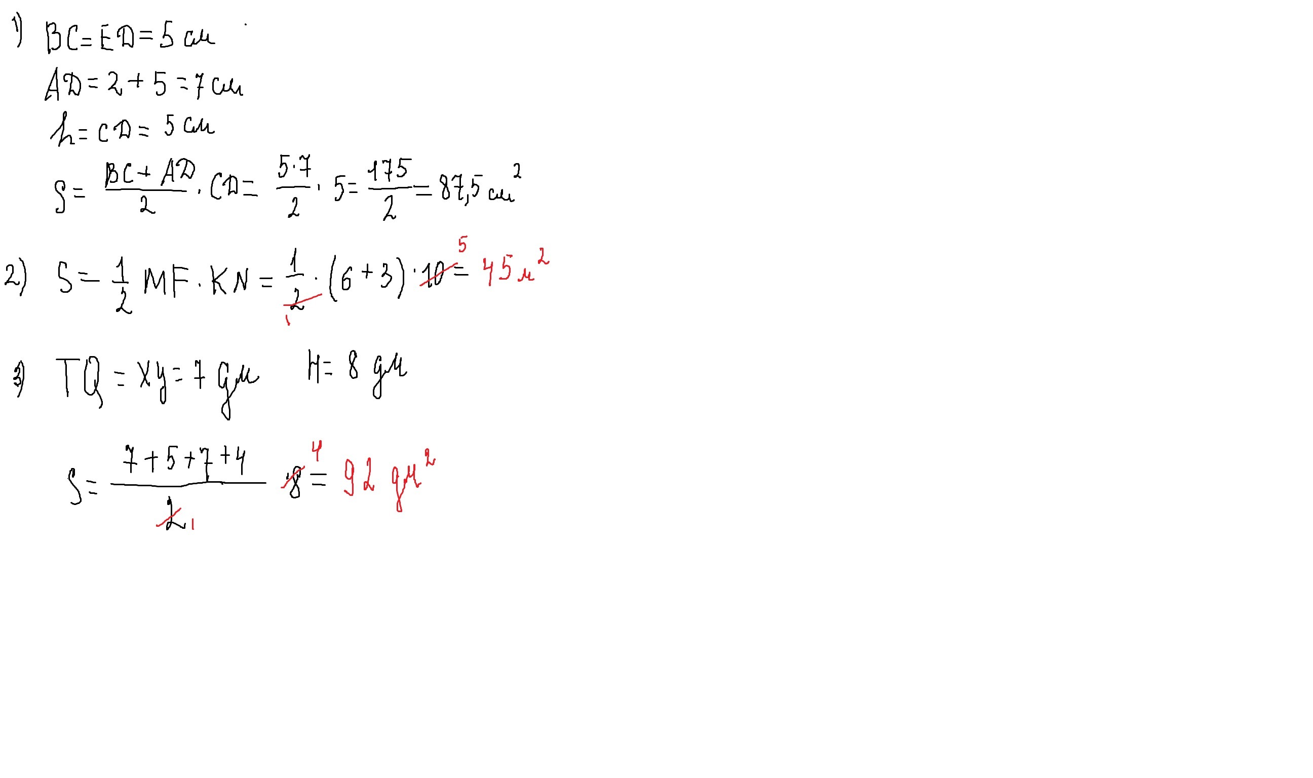
Вычисли площадь фигур:
ПЖ СРОЧНО! ОЧ НАДО!
Приложения:
Ответы
Автор ответа:
1
Ответ:
смотри решение внизу
Приложения:
Похожие вопросы
Предмет: Математика,
автор: irakorsik749
Предмет: Химия,
автор: bruevam146
Предмет: Математика,
автор: 50Rubel
Предмет: Математика,
автор: нина383