Предмет: Алгебра,
автор: oksana75t
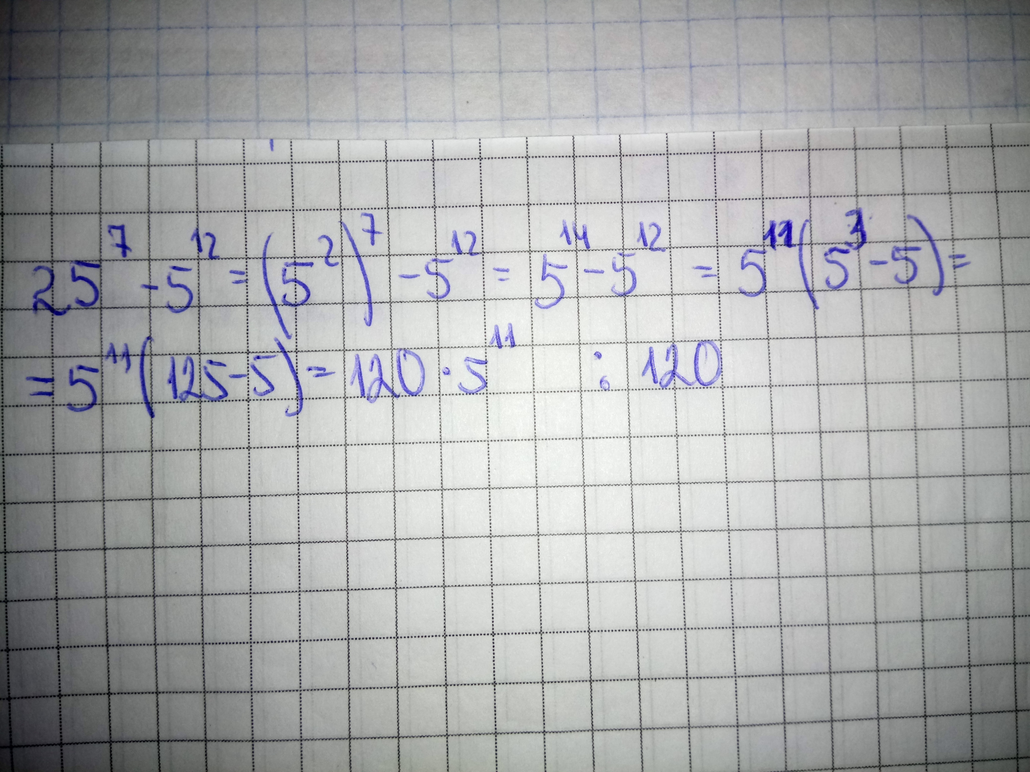
докажите что 25^7-5^12 кратно 120
Ответы
Автор ответа:
1
Решение задания приложено
Приложения:
Похожие вопросы
Предмет: Химия,
автор: gataullina1209
Предмет: Русский язык,
автор: elubaevaajaru6
Предмет: Русский язык,
автор: dusembekovmaksim
Предмет: Математика,
автор: Soloveyqqq
Предмет: Литература,
автор: TbiByDewHeTypoi