Предмет: Математика,
автор: romantikaalena
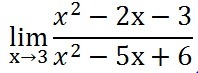
Вычислить пределы. Очень прошу с объяснениями по максимуму!!!
Приложения:
Ответы
Автор ответа:
1
Ответ:
Пошаговое объяснение:
Приложения:
Автор ответа:
1
Решение во вложении.
Используются в основном эквивалентные бесконечномалые функции.
Приложения:
Хуqожнuк:
Можно и по правилу Лопиталя вычислить (ответ другого человека Вам в помощь)
С правилом Лопиталя не нужно включать мозг)
Это верно. У меня в своё время сначала изучали эквивалентности (то есть Лопиталя нельзя было применять))
Похожие вопросы
Предмет: Геометрия,
автор: joncramerq123
Предмет: Русский язык,
автор: beslanadzinov
Предмет: Математика,
автор: lehamoiseev228
Предмет: Математика,
автор: natalie178