Предмет: Алгебра,
автор: vyudjd
Помогите пожалуйста.
Желательно на листочке...
Приложения:
Ответы
Автор ответа:
0
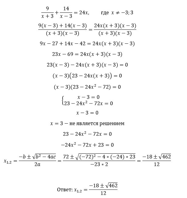
см. вложение....................
Приложения:
Похожие вопросы
Предмет: Химия,
автор: deundakanna3
Предмет: Українська мова,
автор: arionvychavka
Предмет: Українська мова,
автор: hiynablude
Предмет: История,
автор: Queedy
Предмет: Математика,
автор: olgej82