Предмет: Математика, автор: nastya432111

Помогите решить пропорцию с помощью основного свойства пропорции

Приложения:

Ответы

Автор ответа: nurbek20010527
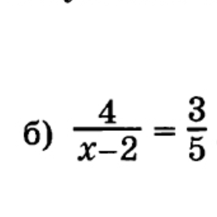
1

 \frac{4}{x - 2}  =  \frac{3}{5}  \\ 3 (x - 2) = 5 \times 4 \\ 3x - 6 = 20 \\ 3x = 26 \\ x =  \frac{26}{3}  = 8 \frac{2}{3}
Похожие вопросы
Предмет: Математика, автор: wilhelmsofa12
Предмет: Алгебра, автор: NaskaVeri