Предмет: Алгебра,
автор: VitStef
СРОЧНО, помогите! Изи задание, МНОГО БАЛЛОВ!
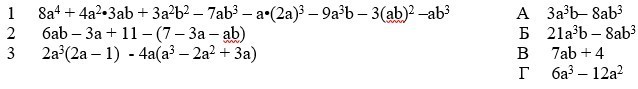
Установите тождество от уравнений 1 - 3 к ответам А - Г
Приложения:
Ответы
Автор ответа:
0
Вот, держи ответы
Вроде так
Вроде так
Приложения:
Похожие вопросы
Предмет: География,
автор: annet64
Предмет: История,
автор: lololamir08
Предмет: Химия,
автор: t9515277754
Предмет: Алгебра,
автор: jongink72
Предмет: Математика,
автор: анечкаи