Предмет: Геометрия,
автор: ivnna2013
ПОМОГИТЕ, ПОЖАЛУЙСТА!!!!!!!!! Нужно решение полное и пояснение
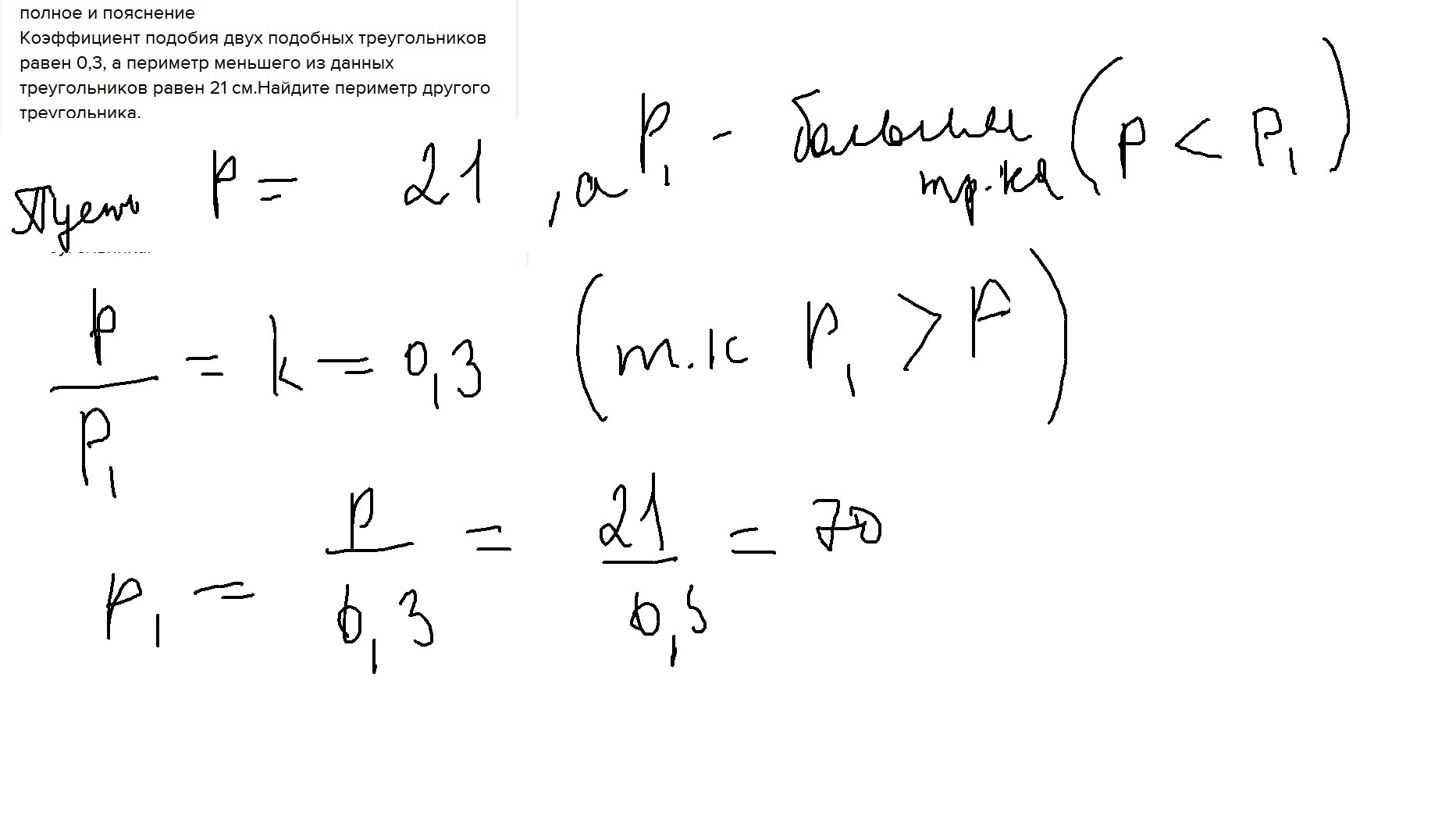
Коэффициент подобия двух подобных треугольников равен 0,3, а периметр меньшего из данных треугольников равен 21 см.Найдите периметр другого треугольника.
Ответы
Автор ответа:
2
Нужно решение полное и пояснение
Коэффициент подобия двух
Приложения:
Автор ответа:
2
Коэффициент подобия k = P1/P2, где P1 - периметр меньшего треугольника, P2 - периметр меньшего треугольника.
0,3 = 21/P2
P2 = 21/0,3 = 70 см
0,3 = 21/P2
P2 = 21/0,3 = 70 см
Похожие вопросы
Предмет: Геометрия,
автор: egorpopov200640
Предмет: Английский язык,
автор: Аноним
Предмет: Математика,
автор: viktorvik3039
Предмет: Алгебра,
автор: parkwaydr39
Предмет: Математика,
автор: Anna89611