Предмет: Математика,
автор: Aida12345678910Aida
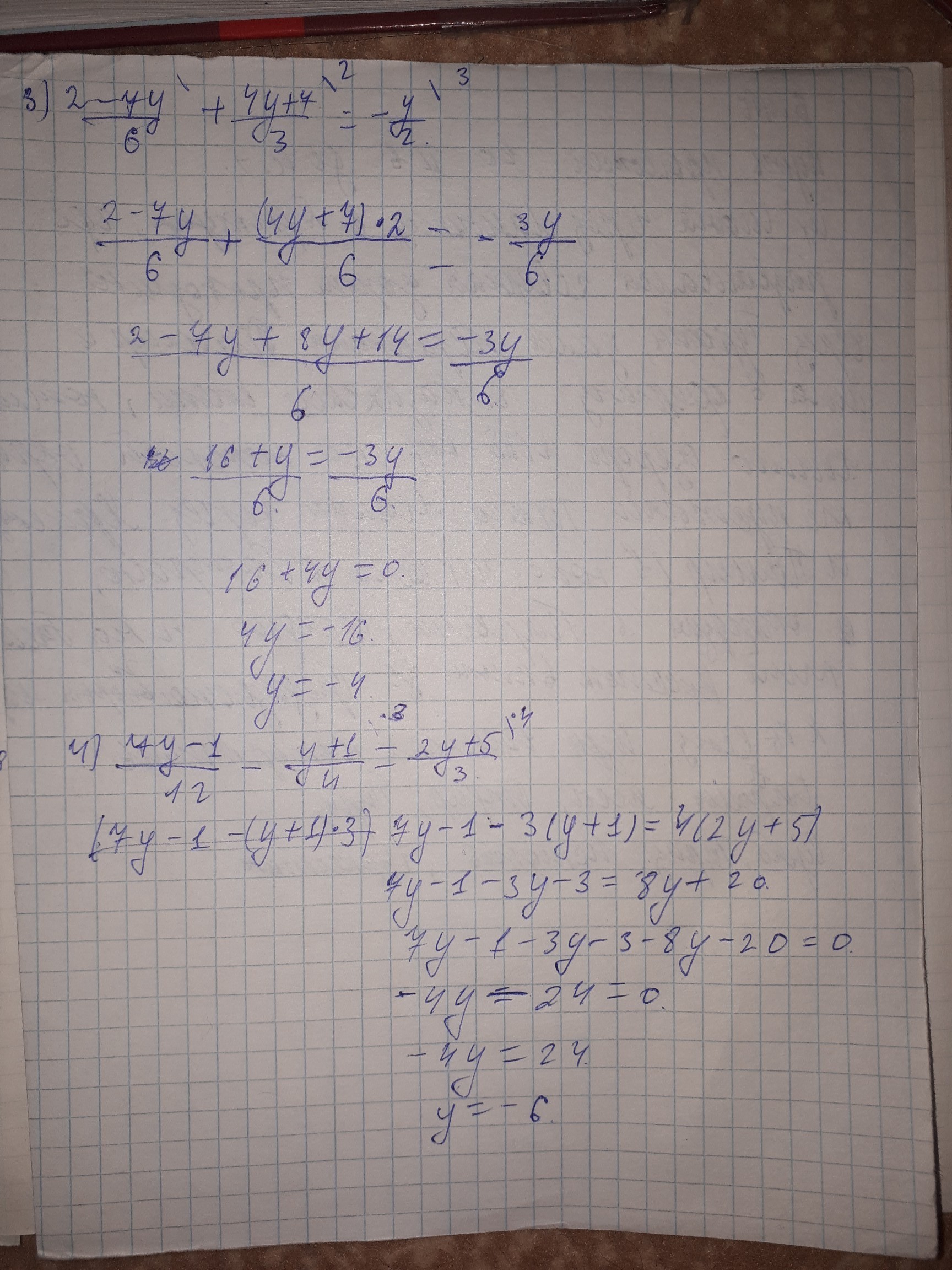
Помогите пожалуйста!!!! Дам 20 балов!!! Срочно нужно
Приложения:
Ответы
Автор ответа:
0
не знаю, правильно или нет (надеюсь, что правильно, ибо легко :))
(Чистота оставляет желать лучшего.)
если хочешь могу заново написать (еще "чище")
(Чистота оставляет желать лучшего.)
если хочешь могу заново написать (еще "чище")
Приложения:
Похожие вопросы
Предмет: Английский язык,
автор: Pasha527
Предмет: Биология,
автор: Yurasas1664
Предмет: Алгебра,
автор: hfjfhduigifuf2450
Предмет: Алгебра,
автор: dashaaap
Предмет: Математика,
автор: lc300