Предмет: Математика,
автор: nazerkesas
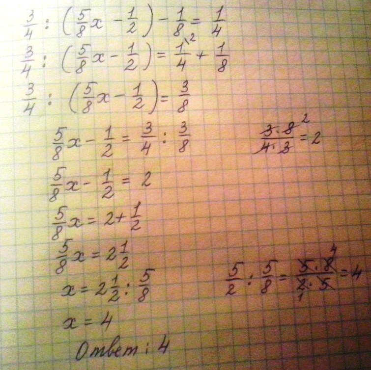
3/4:(5/8x-1/2)-1/8=1/4
Ответы
Автор ответа:
2
Ответ:
Пошаговое объяснение:
Приложения:
Похожие вопросы
Предмет: Английский язык,
автор: anatasiakrukova6
Предмет: История,
автор: adinanurbalina
Предмет: Физика,
автор: maksmaaaks963
Предмет: История,
автор: udodovavarvara