Предмет: Математика,
автор: muradmammadzada
Вычислите значение выражения. Пожалуйста
с объяснениями
Приложения:
Ответы
Автор ответа:
1
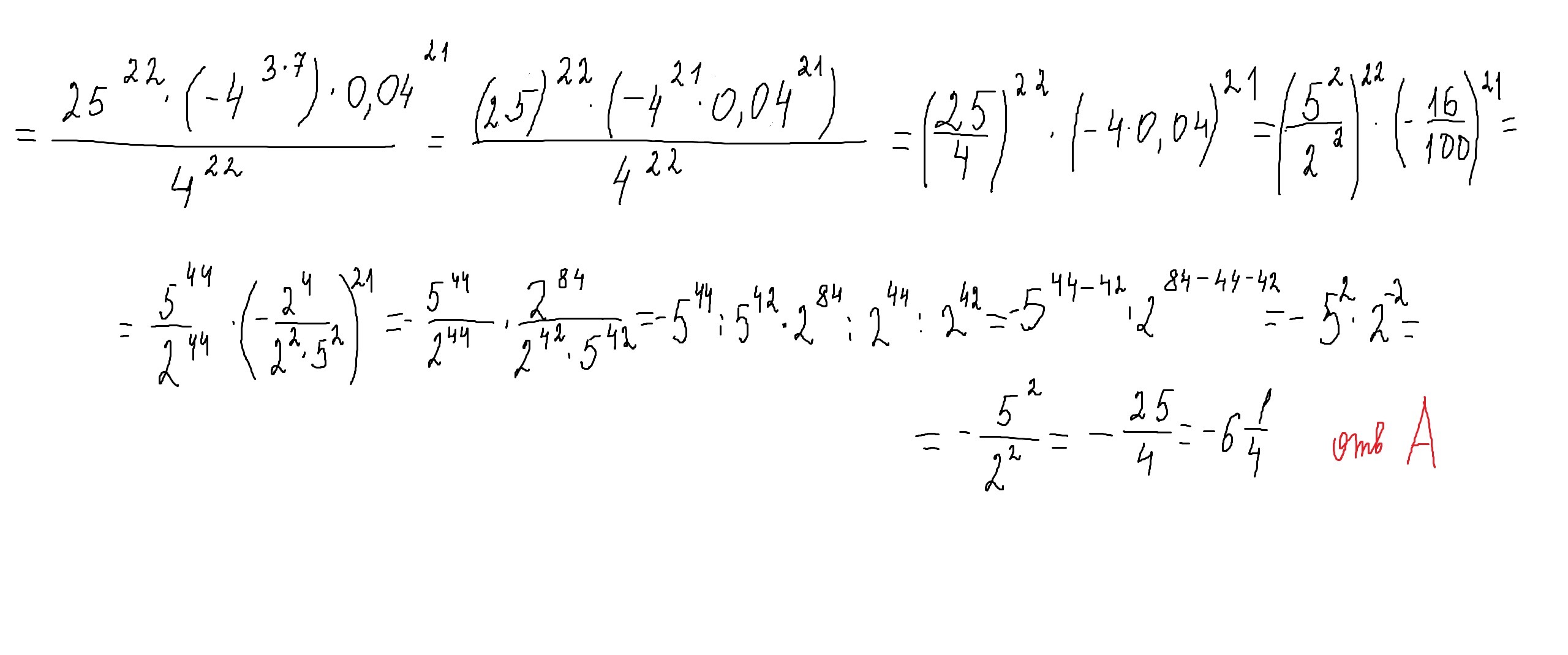
применяем свойства степеней
смотри решение внизу
Приложения:
muradmammadzada:
СПАСИБО!
пожалуйста
Похожие вопросы
Предмет: Математика,
автор: pkudrenko04
Предмет: Математика,
автор: gaisintimur191112
Предмет: География,
автор: invalit
Предмет: Математика,
автор: zhuldyzbaa
Предмет: Алгебра,
автор: tanykai