Предмет: Математика,
автор: ampleev2002
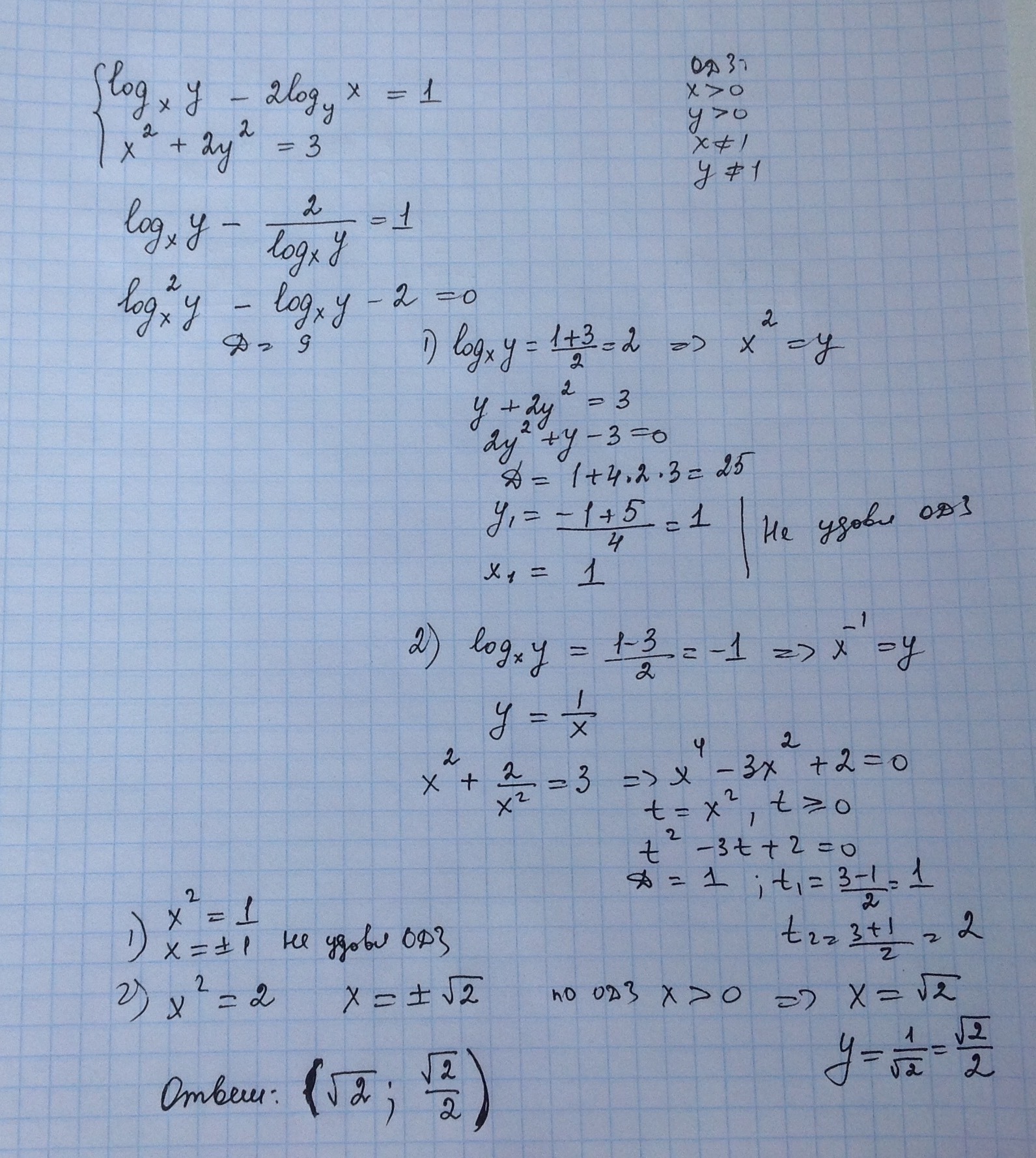
Помогите решить систему. Заранее спасибо :)
Приложения:
Ответы
Автор ответа:
1
Ответ:
Пошаговое объяснение:
Ответ на фото////////////////////
Приложения:
Похожие вопросы
Предмет: Русский язык,
автор: lyubava2022
Предмет: История,
автор: owday26
Предмет: Русский язык,
автор: Аноним
Предмет: Математика,
автор: Shef28
Предмет: Литература,
автор: shine1533