Предмет: Математика, автор: viktorialeongart

Помогите срочно!!!!
Пожалуйста!
Номер 810!!!

Приложения:

Ответы

Автор ответа: ayshatusmanova
1

Ответ:8


Пошаговое объяснение:

4-7x+5(1-x)=60-3(2x+1)

4-7x+5-5x-60+6x+3=0

-6x=-48

X=8


viktorialeongart: Спасибо а можно 2 тоже
viktorialeongart: Пожалуйста
ayshatusmanova: 10-y+2(3y+8)=3(y+6)
ayshatusmanova: 10-y+6y+16-3y-18=0
ayshatusmanova: 2y=18 y=9
viktorialeongart: Спассссибо
viktorialeongart: Всем
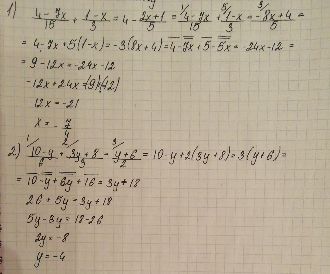
Автор ответа: arina3096
1
Вот решение, которое получилось у меня.
Приложения:

viktorialeongart: Спасибо большое
Похожие вопросы
Предмет: Алгебра, автор: djeihdjrheud
Предмет: Математика, автор: доча27