Предмет: Алгебра,
автор: papi496
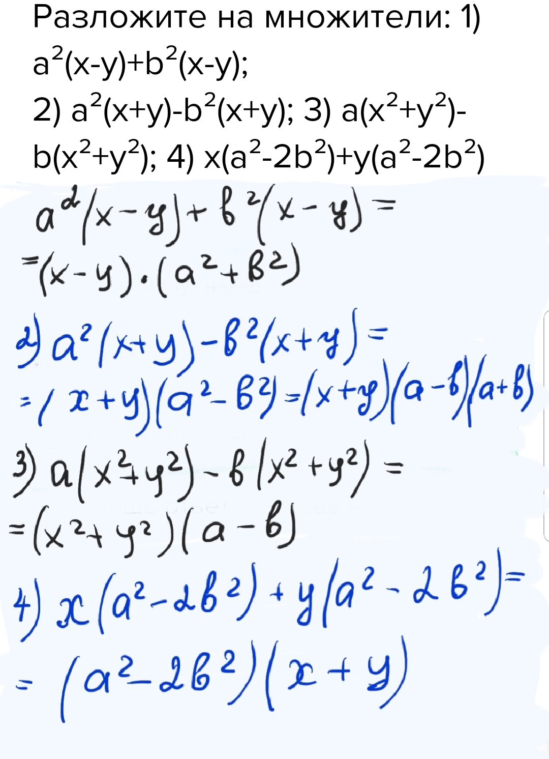
Разложите на множители: 1) a²(x-y)+b²(x-y);
2) a²(x+y)-b²(x+y); 3) a(x²+y²)-b(x²+y²); 4) x(a²-2b²)+y(a²-2b²)
Ответы
Автор ответа:
12
Разложите на множители:
Приложения:
Похожие вопросы
Предмет: Английский язык,
автор: sultaaza
Предмет: Русский язык,
автор: nicatxeyirov5
Предмет: Обществознание,
автор: katia124352
Предмет: Математика,
автор: ShamilSeifula