Предмет: Математика,
автор: ljassat20060903
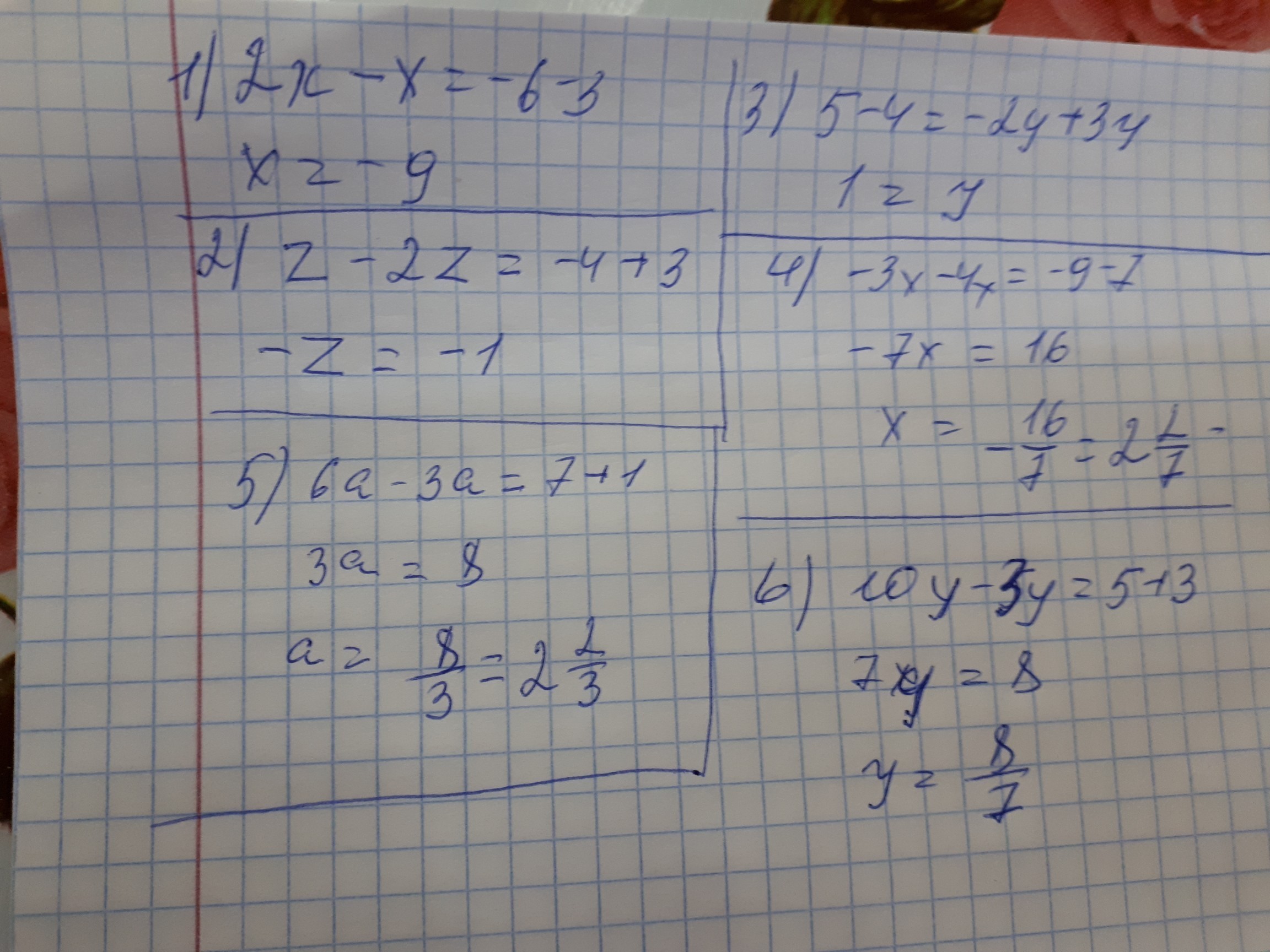
Помогите решить!!!!Матем 6 класс 2 часть книги
2x+3=x-6
Z+4-3=2z
5-3y=4-2y
7-3x=4x-9
6a-1=3a+7
10y-3=5+3y
Ответы
Автор ответа:
0
........................
Приложения:
Похожие вопросы
Предмет: Физика,
автор: reginaandreeva414
Предмет: Русский язык,
автор: uvalieva04
Предмет: Алгебра,
автор: dikiiodgik
Предмет: Математика,
автор: Роза3245
Предмет: Математика,
автор: gazizova1986