Предмет: Алгебра,
автор: yano4ka08
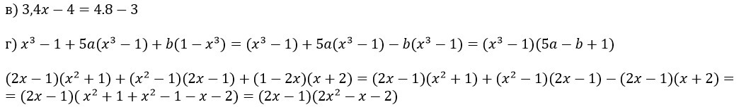
Даю 20 балов. Номер 549 (примеры в,г)
Приложения:
Ответы
Автор ответа:
0
1111111111111111111111111111
Приложения:
gxn17509:
ПОмОГИТЕ ПОЖАЛУЙСТА https://znanija.com/task/31198444
Похожие вопросы
Предмет: География,
автор: muxammadibragimov426
Предмет: История,
автор: Golkovmisha555
Предмет: Математика,
автор: daniiltirov778
Предмет: Математика,
автор: МашаИльина1
Предмет: Математика,
автор: nadesa1