Предмет: Алгебра,
автор: odinodinilin
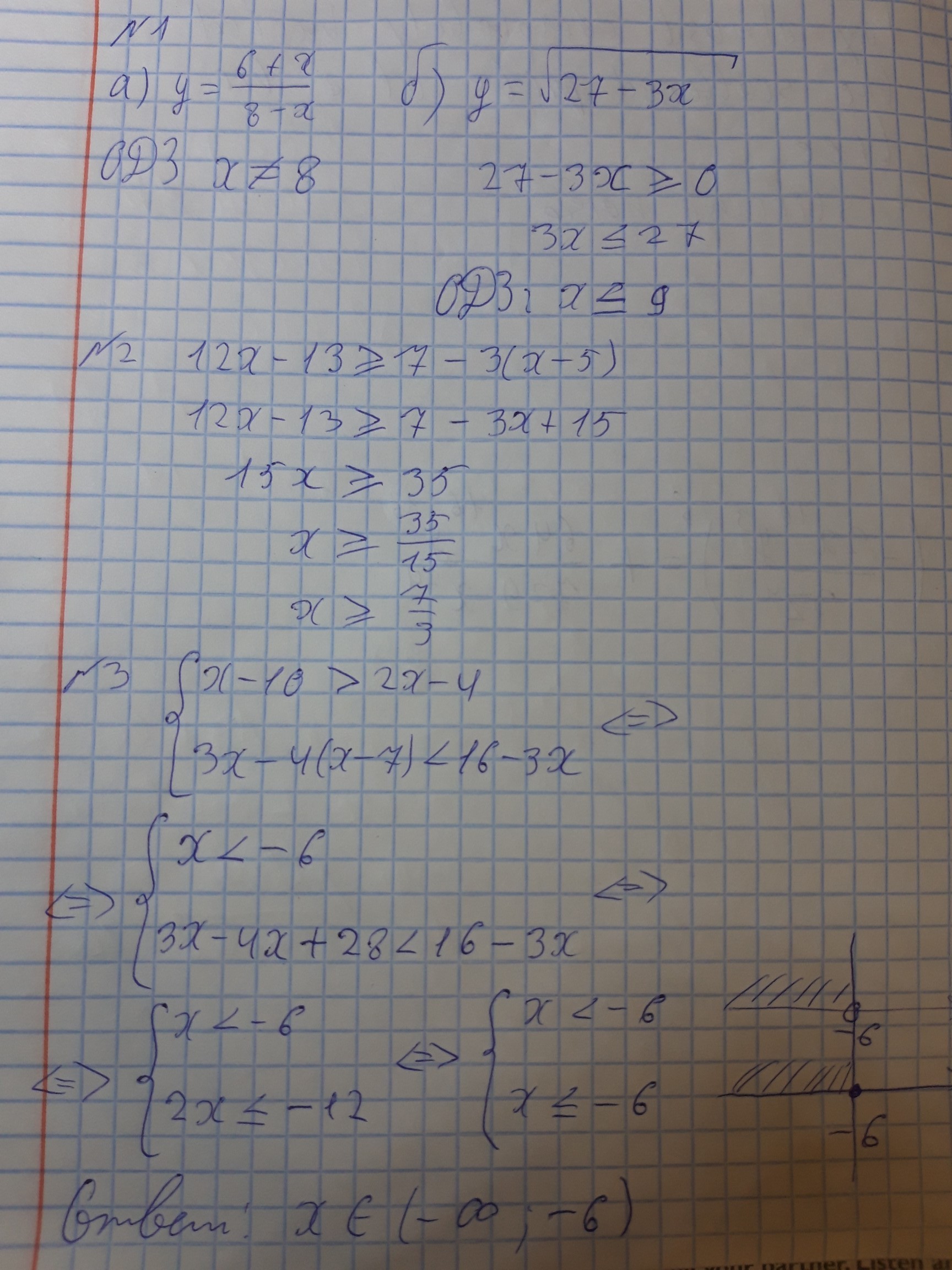
решите как минимум 3 задачи.
Приложения:
Ответы
Автор ответа:
1
В приклепленном файле 3 первые задачи. Надеюсь правильно списал задание а то плохо видно
Приложения:
bighunzoryana:
Там ошибка во 2 задание : 15 х>=36!!
Похожие вопросы
Предмет: Английский язык,
автор: berenersinly
Предмет: Физика,
автор: lindsy54
Предмет: Биология,
автор: loxloxlox315
Предмет: Математика,
автор: Вано11111111211
Предмет: Математика,
автор: анельек1