Предмет: Математика,
автор: Kudinovaksenia
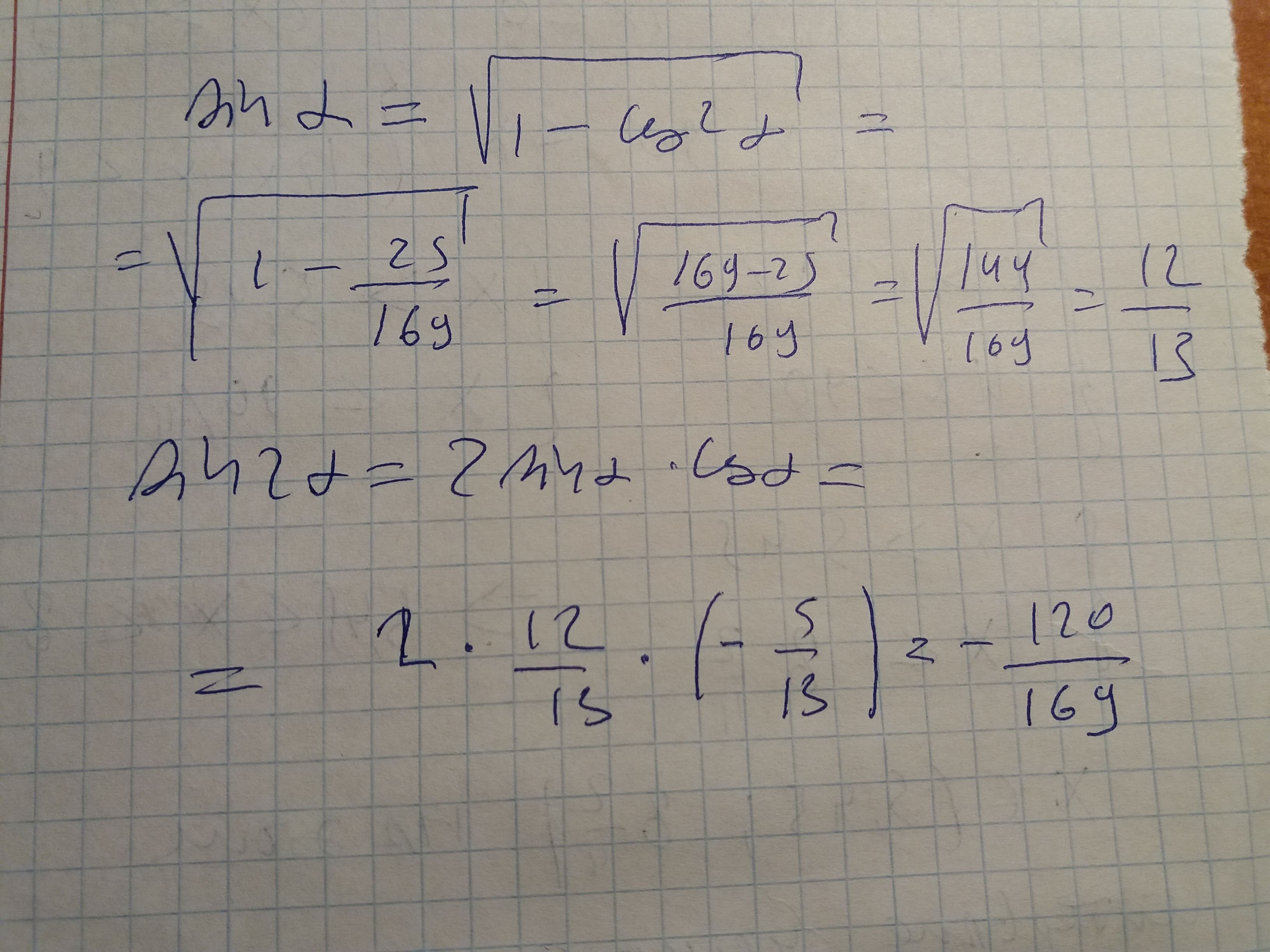
Помогите найти синус 2 альфа
Приложения:
Ответы
Автор ответа:
1
Ответ:
Пошаговое объяснение:
Приложения:
Похожие вопросы
Предмет: Математика,
автор: mnikienko6
Предмет: Математика,
автор: divinamklsn
Предмет: Химия,
автор: slavamerlov33
Предмет: Математика,
автор: Аноним
Предмет: Математика,
автор: Аноним