Предмет: Химия,
автор: oliooooooo
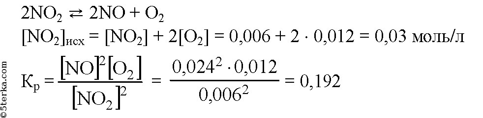
При некоторой температуре равновесие в системе 2NO2 ↔ 2NO + O2 установилось при следующих концентрациях (моль/л): [NO2] = 0,006; [NO] = 0,024. Рассчитайте константу равновесия реакции и исходную концентрацию NO2.
Ответы
Автор ответа:
1
При некоторой температуре равновесие в системе установилось при следующих концентрациях: [NO2] = 0,006 моль/л, [NO] = 0,024 моль/л, [O2] = 0,012 моль/л. Найдите исходную концентрацию NO2 и константу равновесия.
6*. При некоторой температуре равновесие в системе установилось при следующих концентрациях: [NO2] = 0,006 моль/л, [NO] = 0,024 моль/л, [O2] = 0,012 моль/л. Найдите исходную концентрацию NO2 и константу равновесия.
Приложения:
oliooooooo:
Не было дано концентрации кислорода. Её также надо найти
Похожие вопросы
Предмет: Английский язык,
автор: NinjaArtem
Предмет: Математика,
автор: kondratenkoale49
Предмет: Русский язык,
автор: stasnikolaenka
Предмет: Литература,
автор: leks007
Предмет: Математика,
автор: ananasik25