Предмет: Математика,
автор: соня1586
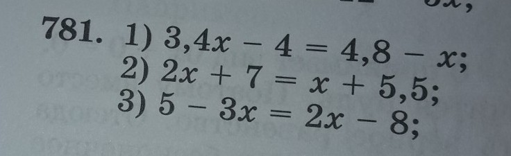
Помогите решить уровнения
Приложения:
Ответы
Автор ответа:
0
Было не сложно помочь)
Приложения:
Похожие вопросы
Предмет: Қазақ тiлi,
автор: zalmagambetovaajnura
Предмет: Английский язык,
автор: armankasymbekov23
Предмет: Математика,
автор: nelliya21
Предмет: Математика,
автор: Sergey134Pro
Предмет: Математика,
автор: тома291