Предмет: Алгебра,
автор: Ersain132
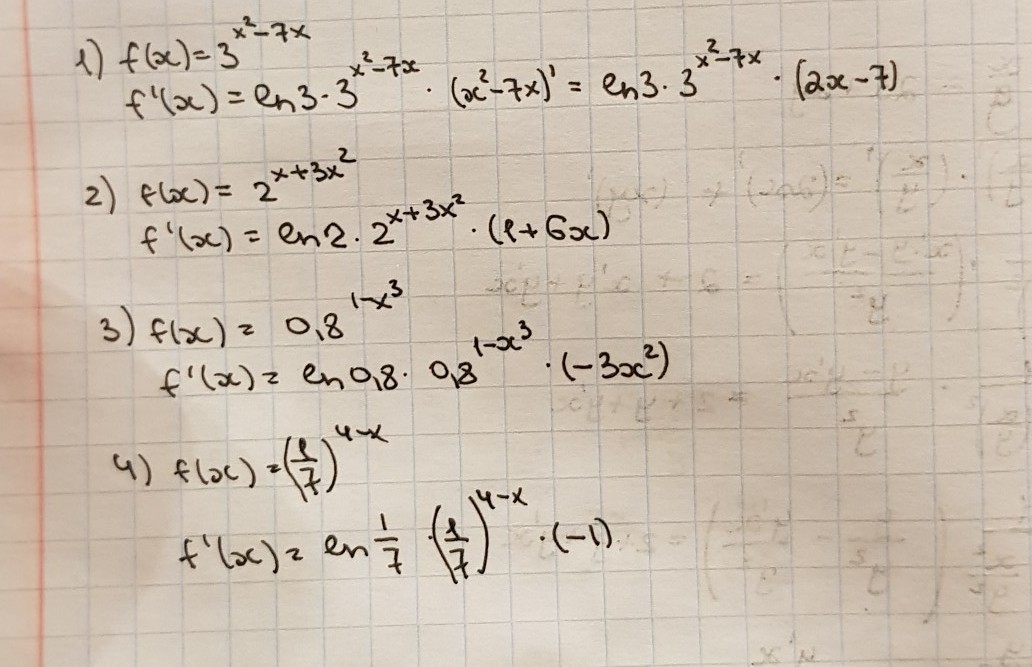
Найдите производную заданной функции f(x)
Приложения:
Ответы
Автор ответа:
2
решение на фотографии
Приложения:
Похожие вопросы
Предмет: Математика,
автор: verapilipuk84
Предмет: Другие предметы,
автор: abdymanakovaperizat
Предмет: Русский язык,
автор: myrzagaramadiar
Предмет: Математика,
автор: Катюха032004