Предмет: Математика,
автор: minennium
Умоляю помогите разобраться как решить вот это

39 баллов тому, кто более подробно разжует мне это
Я это знал, но после армии не помню
Ответы
Автор ответа:
1
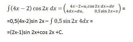
Интегрируем по частям:
Приложения:
Похожие вопросы
Предмет: Английский язык,
автор: Gatiatulin1
Предмет: История,
автор: krokodil1744
Предмет: Математика,
автор: nastyapodvyaznikova
Предмет: Математика,
автор: апррп
Предмет: Математика,
автор: пга1