Предмет: Алгебра,
автор: димаБ100
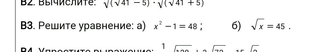
только в3 с решением пожалуйста сделайте на лестке и прикрепите сюда буду рад заранее спасибо огромное!!!
Приложения:
Ответы
Автор ответа:
1
решение смотри на фото
Приложения:
Похожие вопросы
Предмет: Математика,
автор: ogulmiha
Предмет: Обществознание,
автор: eugeniodepez
Предмет: Музыка,
автор: mishanya1115
Предмет: Биология,
автор: florpayvaa
Предмет: Алгебра,
автор: raub