Предмет: Математика,
автор: lesha3989
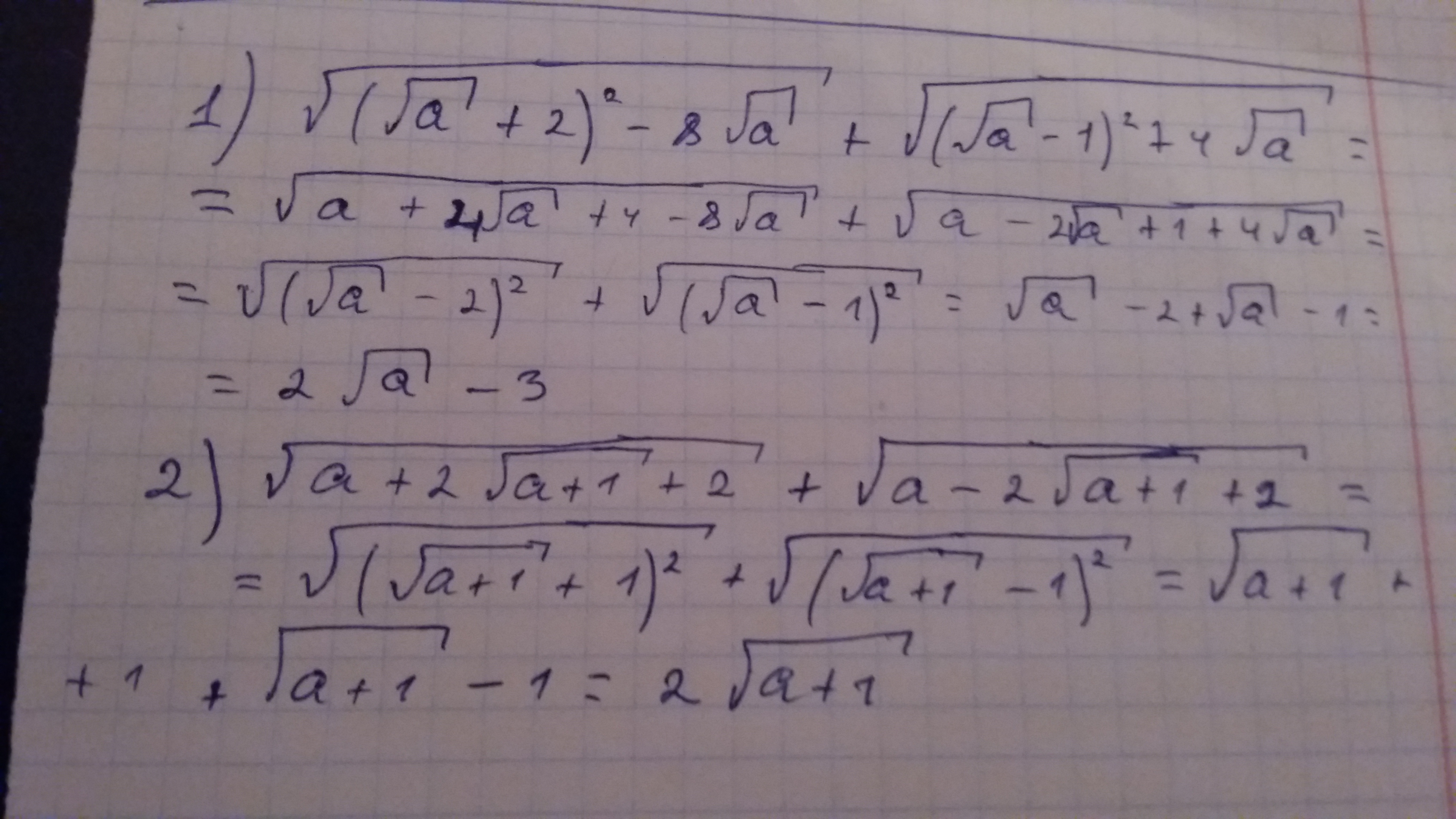
Решите СРОЧНО 2 пример!!!
Приложения:
Ответы
Автор ответа:
1
Ответ:1)
Пошаговое объяснение:
Приложения:
Похожие вопросы
Предмет: Физика,
автор: nasteyka912084
Предмет: Химия,
автор: AIex1234
Предмет: Английский язык,
автор: edgulovaadelina
Предмет: География,
автор: gimnastikgirla
Предмет: Литература,
автор: ЛаниВей