Предмет: Алгебра,
автор: shiromichi
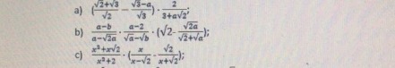
помогите , алгебра 8 класс ответ в листочке присылать сфоткать
Приложения:
Ответы
Автор ответа:
1
!!!!!!!!!!!!!!!!!!!!!!!!!!!!!!!!!!!!!!!!!!1
Приложения:
shiromichi:
спасибо
пожалуйста
Похожие вопросы
Предмет: Информатика,
автор: ychenik771
Предмет: Физика,
автор: kckckejen
Предмет: Алгебра,
автор: ruzimuradovaleksej
Предмет: Математика,
автор: wSTIKIw
Предмет: Алгебра,
автор: helloitsme7