Предмет: Алгебра,
автор: gaponovahelena
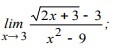
Помогите.. нужно найти указанные пределы.. даю все баллы, что есть! Пожалуйста!!
Приложения:
RoSt121:
В решеебнике нет?
нет, индивидуальное задание(
Ответы
Автор ответа:
1
решение на фотографии
Приложения:
Похожие вопросы
Предмет: Физика,
автор: legunegor23
Предмет: Математика,
автор: ayupovaldiar09
Предмет: Математика,
автор: Котейка2210
Предмет: Математика,
автор: seregeu