Предмет: Математика,
автор: mustafaevagulnar1986
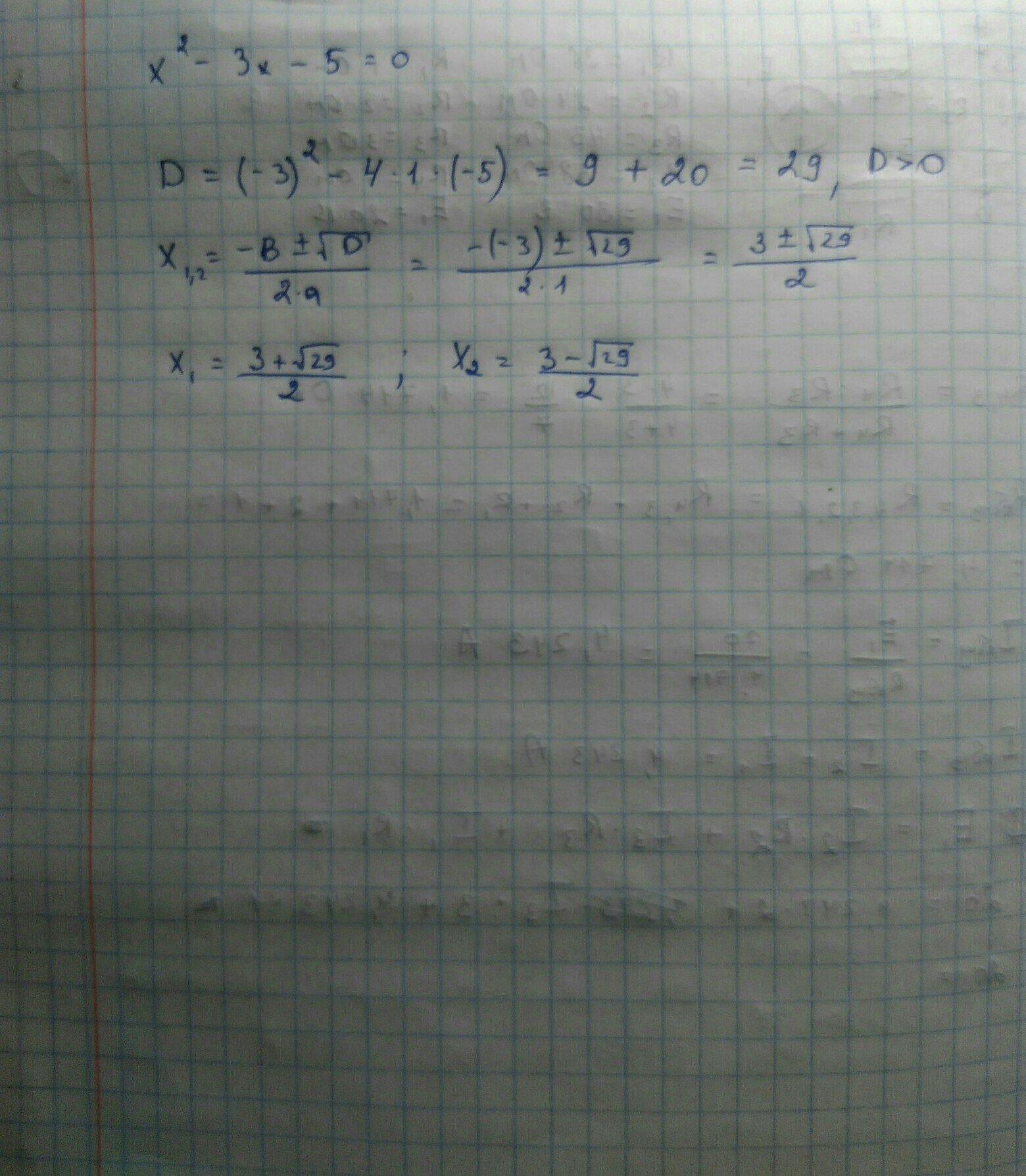
Решите квадратной уравнение x²-3x-5=0
Ответы
Автор ответа:
4
Д=3²+4*5=29
X=(3±корень из 29)/2
X=(3±корень из 29)/2
mustafaevagulnar1986:
Спасибо
Автор ответа:
4
...........................................
Приложения:
Спасибо друзья
Похожие вопросы
Предмет: Биология,
автор: Аноним
Предмет: Биология,
автор: 1lia
Предмет: Немецкий язык,
автор: csfoformaksim
Предмет: Физика,
автор: voprosya
Предмет: География,
автор: лала73