Предмет: Математика, автор: pisboeva20022

корень 180 делить на корень 5. помогите найти значение выражения

Ответы

Автор ответа: rina2403k
2

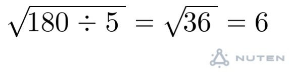
 \sqrt{180}  \div  \sqrt{5}  =  \sqrt{180 \div 5}  =  \sqrt{36}  = 6

pisboeva20022: корень 180
_________ вот так
корень 5
MaxikMK: В решении тоже самое.
Автор ответа: Аноним
1

Ответ:


Пошаговое объяснение:

По правилам ставим их под общий корень

Приложения:

pisboeva20022: корень 180
__________ найти значение выражения
корень 5
Похожие вопросы
Предмет: Геометрия, автор: SniperRus71417
Предмет: Математика, автор: каша8
Предмет: Математика, автор: ARSENIY32121