Предмет: Алгебра,
автор: Клиник
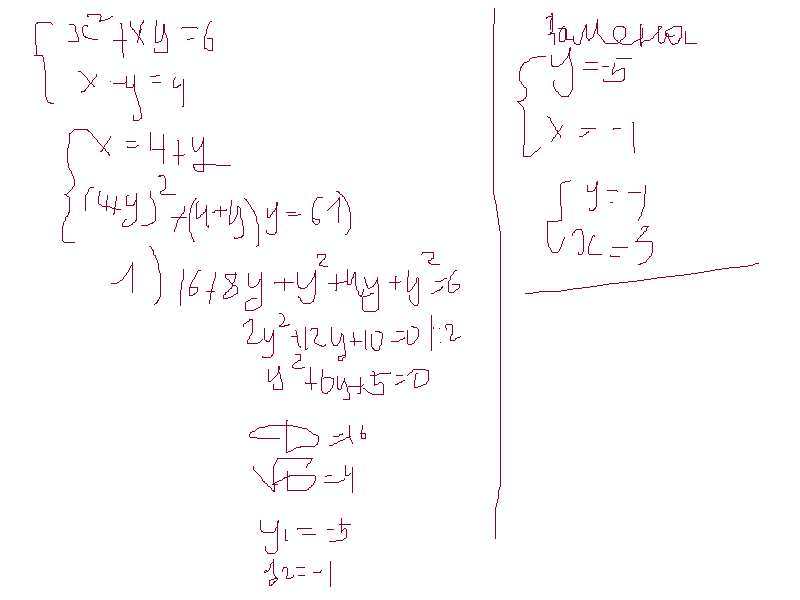
решить систему уравнений методом подстановки
{x^+xy=6
{x-y=4
Ответы
Автор ответа:
0
..................................................
Приложения:
Похожие вопросы
Предмет: Литература,
автор: daniliandotrtrtttttr
Предмет: Алгебра,
автор: sonechkamishackina23
Предмет: Русский язык,
автор: Аноним
Предмет: Химия,
автор: Kk25
Предмет: География,
автор: женя8899