Предмет: Математика,
автор: kkattrin2000
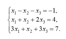
Исследовать и решить систему уравнений. Найти общее решение системы и частное решение при x1 = 1 :
Приложения:
Ответы
Автор ответа:
0
Общее решение только одно. Подставь x1=1 в уравнение и получишь систему:
x2+x3=2
x2+2x3=3
x2+3x3=4
Выражаем из первого уравнения x2 и подставляем в другие уравнения. Получаем систему:
x2=2-x3
2-x3+2x3=3
2-x3+3x3=4
Прорешав первое или второе уравнение, мы получим x3=1, подставляем в любое из трех уравнений и находим x2=1
Система имеет только одно решение - 1
Похожие вопросы
Предмет: Алгебра,
автор: sashashishkin77760
Предмет: Алгебра,
автор: Leceust
Предмет: Русский язык,
автор: madina443
Предмет: Математика,
автор: Маринетт21879
Предмет: Алгебра,
автор: анисааминева