Предмет: Математика, автор: NoMatS

Найти область определения функции:

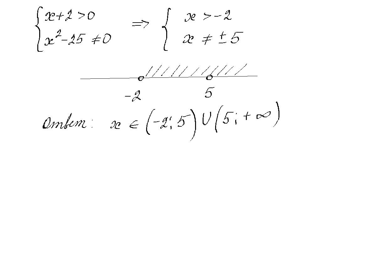
y=lg(x+2)+\frac{1}{x^{2} - 25}

Ответы

Автор ответа: vavdovina55
2

Ответ:


Пошаговое объяснение:


Приложения:
Похожие вопросы
Предмет: Литература, автор: crv88
1.“Воцарилась Екатерина Вторая, и для русского народа наступила эра новой, лучшей жизни. Ее царствование — это эпопея, эпопея гигантская и дерзкая по замыслу, величественная и смелая по созданию, обширная и полная по плану, блестящая и великолепная по изложению, эпопея, достойная Гомера или Тассо*. Ее царствование — это драма, драма многосложная и запутанная по завязке, живая и быстрая по ходу действия, пестрая и яркая по разнообразию характеров, греческая трагедия по царственному величию и исполинской силе героев, создание Шекспира по оригинальности и самоцветности персонажей, по разнообразности картин и их калейдоскопической подвижности, наконец, драма, зрелище которой исторгнет у вас невольно крики восторга и радости. <...>

Да — чудно, дивно было это время, но еще чуднее и дивнее было это общество! Какая смесь, пестрота, разнообразие! Сколько элементов разнородных, но связанных, но одушевленных единым духом! Безбожие и изуверство, грубость и утонченность, материализм и набожность, страсть к новизне и упорный фанатизм к старине, пиры и победы, роскошь и довольство, забавы и геркулесовские подвиги, великие умы, великие характеры всех цветов и образов и между ними Недоросли, Простаковы, Тарасы Скотинины и Бригадиры; дворянство, удивляющее французский двор своею светскою образованностию, и дворянство, выходившее с холопьями на разбой...”

В. Г. Белинский. Литературные мечтания. 1835

Для характеристики века Екатерины Белинский прибегает к сопоставлению его с изображением жизни в произведениях литературы различных родов: эпопеи, драмы, трагедии... Как это помогает критику раскрыть противоречия этого времени?

На какие противоречия времени Екатерины указывает он прямо? Почему? Какие из них вы можете подтвердить историческими фактами, примерами из литературных произведений М. В. Ломоносова, Д. И. Фонвизина, А. Н. Радищева?