Предмет: Математика,
автор: nikita7125
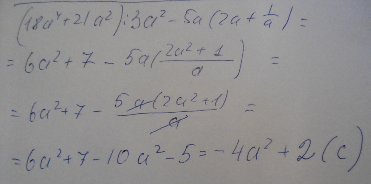
помогите мне пожалуйста
Приложения:
Ответы
Автор ответа:
0
!!!!!!!!!!!!!!!!!!!!!!!!!11
Приложения:
nikita7125:
ещё поможешь я подпишусь на тебя
поможешь
я уже доба
вил
я на тебя подпишусь
если поможешь
Похожие вопросы
Предмет: Математика,
автор: Trech340
Предмет: Химия,
автор: gulzamalurtaeva
Предмет: Французский язык,
автор: vladbabatenko
Предмет: Алгебра,
автор: впокуц
Предмет: Алгебра,
автор: lapushkindenisLULZ