Предмет: Математика, автор: masmaks13

Вычислить пределы функций, напишите пожалуйста решение(очень подробно)!!!

Приложения:

Ответы

Автор ответа: krolikzajcev
0

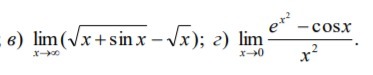
\lim_{x \to \infty}\frac{x+\sin x-x}{\sqrt{x+\sin x } +\sqrt{x} } = \lim_{x \to \infty}\frac{\sin x}{\sqrt{x+\sin x } +\sqrt{x} }=0;\\\\ \lim_{x \to0 } \frac{(e^{x^2}-1)+(1-\cos x)}{x^2} =\lim_{x \to0 } \frac{(e^{x^2}-1)}{x^2}+\lim_{x \to0 } \frac{(1-\cos x)}{x^2} = 1+1/2=3/2

Похожие вопросы
Предмет: Математика, автор: КЛюси
Предмет: Алгебра, автор: Алина1111111656